Fig. 3

Download original image
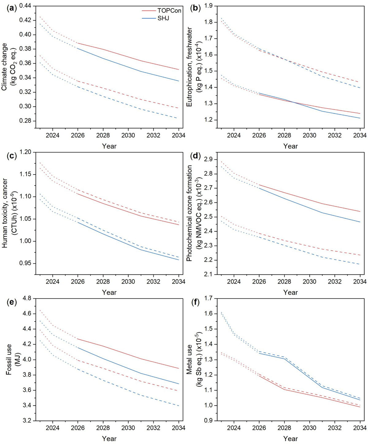
Absolute LCA results (a–f) showing how the impact of 1 Wp TOPCon (red) and SHJ (blue) is expected to change between 2023 and 2034 considering technological developments for present (solid) and future (dashed) electricity mixes for the six highest value impact categories. The dotted line at the start of both scenarios represents data trends prior to 2026.
Current usage metrics show cumulative count of Article Views (full-text article views including HTML views, PDF and ePub downloads, according to the available data) and Abstracts Views on Vision4Press platform.
Data correspond to usage on the plateform after 2015. The current usage metrics is available 48-96 hours after online publication and is updated daily on week days.
Initial download of the metrics may take a while.
